Ecuación diferencial
Un modelo de una ecuación diferencial es un elemento que determina como evoluciona a lo largo del tiempo un sistema físico matemático como puede ser el movimiento de un objeto real.
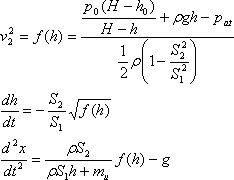
EJEMPLO: Aceleración, velocidad y trayectoria de un cohete.
Modelo interno
A partir de la ecuación diferencial, mediante unos cambios de variable, se trata de conseguir el modelo de estado.
EJEMPLO:
Modelo externo
A partir de la ecuación diferencial,mediante complicadas fórmulas de integración o mediante la Transformada de Laplace y suponiendo condiciones iniciales nulas, se trata de hallar la función de transferencia G(s)
EJEMPLO:
EJEMPLO:
Modelo externo
A partir de la ecuación diferencial,mediante complicadas fórmulas de integración o mediante la Transformada de Laplace y suponiendo condiciones iniciales nulas, se trata de hallar la función de transferencia G(s)
EJEMPLO:
No hay comentarios:
Publicar un comentario